Vervielfachen Von Bruchen Ubungen
Wie viele Stücke von 1 4 m Länge können davon abgeschnitten werden?.
Vervielfachen von bruchen ubungen. Teste drei e das Lernportal von kapiertde!. Mit unseren Übungen erlernst du den souveränen Umgang mit Brüchen Lerne sie zu addieren (plus), subtrahieren (minus), multiplizieren (mal) und dividieren (geteilt) Das Ganze ist mit zwei, aber auch mit drei Brüchen möglich Beim Rechnen mit drei Brüchen kannst du die Variante mit allen Rechenoperationen auswählen. Beim Multiplizieren und Dividieren von Brüchen wird sowohl der Zähler als auch der Nenner beim Rechnen berücksichtigt Es spielt keine Rolle, ob die Brüche gleichnamig oder ungleichnamig sind Du wirst jedoch bemerken, dass das Dividieren von Brüchen etwas außergewöhnlich ist Denn eigentlich ist es auch eine Multiplikation.
Inhaltsverzeichnis 5 48 Rechnen mit Brüchen und Dezimalbrüchen 1 Planen einer Klassenfahrt. Subtraktion von Dezimalzahlen Subtraktion von Dezimalzahlen Zur Übersicht Verschiebung, Spiegelung Achsenspiegelung Achsenspiegelung Verschiebung Verschiebung Zur Übersicht Auf dieser Seite befindet sich nur ein Teil der Arbeitsblätter Die vollständige Sammlung incl. Test Addieren und Subtrahieren von Brüchen Test Vervielfachen und Teilen von Brüchen 0% richtig.
Umfangreicher Wochenplan zur selbständigen Erarbeiten der Unterrichtssequenz "Vervielfachen von Brüchen" Übungsteil mit Selbstkontrolle für die Schüler und Lösung für den Lehrer ) Angaben zu Aufgaben aus dem Schulbuch beziehen sich auf den alten "Schnittpunkt 6" für BaWü Das müsst ihr eurem Schulbuch anpassen. Addition von Brüchen Einfach erklärt anhand von sofatutorVideos Prüfe dein Wissen anschliessend mit Arbeitsblättern und Übungen. Erfolgreich in der Schule AHA!.
Die Multiplikation von Brüchen folgt sehr einfachen RechenregelnHier lernst du nicht nur, wie du Brüche miteinander multiplizierst, sondern auch wie du ganze Zahlen mit Brüchen multiplizierst. Bei allen Aufgaben muss die Erweiterungszahl bzw die Kürzungszahl angegeben werden!. Addition von Brüchen Einfach erklärt anhand von sofatutorVideos Prüfe dein Wissen anschließend mit Arbeitsblättern und Übungen.
Von Brüchen im Vordergrund, da hier von konkreten Brüchen ausgegangen wird, die den Schüle rinnen und Schülern bereits aus dem täglichen Leben bekannt sind Dies bietet den Vorteil, dass. Erweitern und Kürzen von Brüchen Erste Übungen Beschreibung Einfache Übungen zum Erweitern und Kürzen von Brüchen Umfang 1 Arbeitsblatt 1 Lösungsblatt Schwierigkeitsgrad sehr leicht Autor Robert Kohout Erstellt am. Beispiel Vergleiche $$9/$$ und $$23/50$$ Gehe so vor 1 Den gleichen Nenner suchen Du bringst die Brüche, die du ordnen willst, auf denselben Nenner Suche eine Zahl, die sowohl in der Vielfachreihe von $$$$ als auch in der Vielfachreihe von $$50$$ vorkommt.
4 Inhaltsverzeichnis Bleib fit im Umgang mit Flächen und Rauminhalten 102 3 Dezimalbrüche. Was ist nun aber mit Brüchen, bei denen Zähler und Nenner verschieden sind?. Von Brüchen im Vordergrund, da hier von konkreten Brüchen ausgegangen wird, die den Schüle rinnen und Schülern bereits aus dem täglichen Leben bekannt sind Dies bietet den Vorteil, dass.
Das Arbeiten mit Brüchen ist in mehrere Themen unterteilt Du fängst ganz vorne an Was sind Brüche, was ist der Zähler, der Nenner, der Bruchstrich und der Stammbruch Anschließend lernst du das Rechnen mit Brüchen Zum Beispiel das Kürzen von Brüchen Das ist wichtig, um weitere Übungen mit Brüchen durchzuführen. Viele Beispiele zur Division von Brüchen Aufgaben / Übungen zum Dividieren beim Bruchrechnen Ein Video zu diesem Thema Ein Frage und Antwortbereich zu diesem Gebiet Ein kleiner Tipp zum Beginn Wenn ihr nicht wisst, was ein Bruch ist, werft bitte erst einmal einen Blick in den Hauptartikel Bruchrechnen Ansonsten ran an die Division von. Erklärungsfilm zu „Multiplizieren von Brüchen" Informationen zur Young Business School finden Sie unter wwwybsde Informationen zu CASS finden Sie unter.
Last update 1406 Alle Dateien befinden sich auf der CD "Mary's Bastelkiste" Besucher ab. Beachte dein Lernstand der Übungen wird im Moment nicht gespeichert Melde dich an, wenn du das möchtest!. 1 BRUCHRECHNUNG 14 Division von Brüchen Merke Durch einen Bruch wird dividiert indem man mit der Kehrzahl multipliziert Die Kehrzahl eines Bruches erhält man indem man den Zähler mit dem Nenner vertauscht.
Die Umrechnung von Brüchen in Dezimalzahlen und Prozent (und umgekehrt) wird ebenso verlangt wie die Darstellung von Dezimalzahlen in der Stellenwerttafel Der Praxisbezug wird hergestellt durch die Anwendung von Umrechnungsformeln bei Größen aus dem Alltag (Euro, Cent, Längenmaße, Stunden und Minuten). Zu den Übungen Multiplikation und Divison von Brüchen Erklärungen Beispiele Brüche multiplizieren ganze Zahl 2 Brüche miteinander multiplizieren 2 Brüche dividieren Brüche multiplizieren dividieren Dezimalbrüche. Die Umrechnung von Brüchen in Dezimalzahlen und Prozent (und umgekehrt) wird ebenso verlangt wie die Darstellung von Dezimalzahlen in der Stellenwerttafel Der Praxisbezug wird hergestellt durch die Anwendung von Umrechnungsformeln bei Größen aus dem Alltag (Euro, Cent, Längenmaße, Stunden und Minuten).
Die Multiplikation von Brüchen folgt sehr einfachen RechenregelnHier lernst du nicht nur, wie du Brüche miteinander multiplizierst, sondern auch wie du ganze Zahlen mit Brüchen multiplizierst. Interaktive Übungen und Arbeitsblätter mit Lösungen für Schüler, Eltern und Lehrer Bruchrechnen/ Brüche Mathe online lernen mit Matheaufgaben bei mathenaturde Donnerstag,. Vervielfachen und Teilen von Bruchzahlen Bruchteile und Vielfache von Brüchen (Online) Brüche vervielfachen und teilen 15 Karteikärtchen im PDFFormat Multiplizieren von Bruchzahlen Brüche multiplizieren Erklärung und einfache interaktive Aufgabe (Aufgabe 3).
Siehe auch Multiplikation, Addition, Subtraktion. Übungen zum Thema Dividieren von gewöhnlichen Brüchen Berechnen Sie den Quotient von zwei Brüchen, schreiben Sie die Antwort und drücken Sie die Taste "Überprüfen" 5 3 = 7 4 Um zu der nächsten Aufgabe zu kommen, drücken Sie die Taste "Nächstes Beispiel" Achtung!!!. Bruchrechnen ab Klasse 5 lernen, verstehen, üben für Schülerinnen und Schüler ab Klasse 5 mit unterschiedlichen Schwierigkeitsgraden.
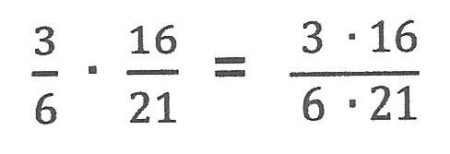
Das Arbeiten mit Brüchen ist in mehrere Themen unterteilt Du fängst ganz vorne an Was sind Brüche, was ist der Zähler, der Nenner, der Bruchstrich und der Stammbruch Anschließend lernst du das Rechnen mit Brüchen Zum Beispiel das Kürzen von Brüchen Das ist wichtig, um weitere Übungen mit Brüchen durchzuführen. Klassenarbeiten mit Musterlösung zum Thema Multiplikation und Division von Brüchen, Bruchrechnen. Multiplikation von Brüchen Zähler wird mit Zähler und Nenner mit Nenner multipliziert 3 · 3 = 3 · 3 = 9 4 5 4 · 5 Beim Multiplizieren darf auf dem Bruchstrich gekürzt werden 2 · 9 = 1 2 · 9 3 = 3 3 10 1 3 · 10 5 5 Aufgabe 6 Stelle unterschiedliche Multiplikationen ein und beobachte, was passiert.
Dividieren von Brüchen – Aufgabenblätter zum Download bei AHA!. Wie viele Stücke von 1 4 m Länge können davon abgeschnitten werden?. Was ist nun aber mit Brüchen, bei denen Zähler und Nenner verschieden sind?.
Auch das Vergleichen von Brüchen, deren Zähler denselben Wert haben, ist relativ einfach Hier müssen wir jetzt auf den Nenner schauen Dabei gilt je kleiner der Nenner, desto größer der Bruch Ein größerer Nenner bedeutet, dass der Zähler in mehrere Teile geteilt wird der Bruch wird kleiner. Vervielfachen von Brüchen Übungen Am Pult liegen Puzzleteile für dieses Puzzle aus Schneide sie sorgfältig aus Wenn du die Aufgaben unten richtig gelöst hast, weißt du welches Puzzleteil, an welche Stelle geklebt werden muss Rechne nun folgende Aufgaben und vergiss das Kürzen nicht!. 4 Inhaltsverzeichnis Bleib fit im Umgang mit Flächen und Rauminhalten 102 3 Dezimalbrüche.
Bsp 2 3 2 3 1. 1 Erweitere die folgenden Brüche mit 3 (5, 8, 9, 12) a) 1 5 b) 3 7 c) 4 7 d) 7 15 e) 5 11 f) 13 19 2 Womit wurde erweitert?. A) 36 48 b) 13 7 21 c) 7 49 8 56.
Arbeitsblatt Erweitern von Brüchen Das Arbeitsblatt „Erweitern von Brüchen“ befasst sich – wie es der Name bereits verrät – mit der Brucherweiterung Dieses ist unter anderem dann wichtig, wenn man mit Brüchen rechnen muss und / oder gleichnamige Brüche sucht. 19 Vervielfachen von Brüchen 4 2 3 1 2 • Sabine macht ein Jahrespraktikum Sie erzählt „Ich verdiene 1 € im Monat Das ist nicht viel, aber ich spare trotzdem 2 3 von diesen 1 € jeden Monat“ Wie viel Euro spart Sabine jeden Monat?. Es gibt verschiedene Arten von Brüchen Echter Bruch So bezeichnet man Brüche, bei denen die untere Zahl größer als die obere ist Unechter Bruch So bezeichnet man Brüche, bei denen die obere Zahl größer als die untere ist Gemischter Bruch So bezeichnet man einen Bruch, der aus einer ganzen Zahl und einem echten Bruch besteht.
Mathe mit Brüchen üben Bruchrechnen werden ab der dritten Klasse unterrichtet Zunächst müssen die Schüler verstehen, was Brüche sind Dies wird erreicht, indem Brüche visualisiert werden, beispielsweise mithilfe eines Kuchendiagramms oder indem gezeigt wird, wo sich Brüche auf der Zahlenlinie befinden. Die Division von zwei Brüchen ist durchzuführen 5759 ** Bruch durch ganze Zahl dividieren Ein Bruch ist durch eine ganze Zahl zu dividieren 6786 ** Brüche addieren und subtrahieren Additions und Subtraktionsaufgaben mit Brüchen sind zu lösen 7433. Bietet hochwertige Nachhilfe durch Einzelunterricht Unsere Lehrer kommen zu Ihnen nach Hause, flexibel und zu fairen Preisen Rufen Sie uns an oder schreiben Sie uns, um eine kostenlose und unverbindliche Beratung mit Ihrem AHA!.
Die Division von zwei Brüchen ist durchzuführen 5759 **** Brüche mit Ganzzahl multiplizieren Ein Bruch ist mit einer ganzen Zahl zu multiplizieren 5678 *** Brüche addieren und subtrahieren Additions und Subtraktionsaufgaben mit Brüchen sind zu lösen 7433 **. Hier erklärt dir der Lernwolf die Subtraktion von Brüchen mit Kürzen und es gibt Übungsaufgaben mit Musterlösung dazu Download Arbeitsblatt Mathematik Subtraktion ungleichnamiger Brüche für alle Schularten passend Klasse 5 und 6 Mathematik 434 In diesem Arbeitsblatt wird erklärt wie du ungleichnamige Brüche subtrahierst und. Interaktive Übungen helfen dir beim Lernen Videos, Audios und Grafiken erklären dir jedes Thema Mit dem Klassenarbeitstrainer bereitest du dich auf deine MatheKlausur vor Mit dem Lernmanager hast du alle Aufgaben im Blick Genau das Richtige lernen – mit kapiertde drei e kostenlos.
Mit MathematikNachhilfe von AHA!. Hinweis Das Multiplizieren eines Bruchs mit einer ganzen Zahl und das Dividieren eines Bruchs durch eine ganze Zahl sind eigentlich nur Spezialfälle des Multiplizierens und Dividierens von Brüchen, denn jede ganze Zahl kann als Bruch geschrieben werden Dabei steht im Zähler dann die Zahl selbst und im Nenner die 1. Teste drei e das Lernportal von kapiertde!.
Kürze falls möglich schon vor dem Ausrechnen!!!. Interaktive Übungen und Arbeitsblätter mit Lösungen für Schüler, Eltern und Lehrer Bruchrechnen/ Brüche Mathe online lernen mit Matheaufgaben bei mathenaturde Donnerstag,. Klassenarbeiten und Übungsblätter zu Addition und Subtraktion von Brüchen Klassenarbeit 28 Januar Brüche multiplizieren, Addition und Subtraktion von Brüchen, Textaufgaben zur Bruchrechnung Übungsblatt 2700 Addition und Subtraktion von Brüchen, Aufgabensammlung aus Klassenarbeiten.
1 BRUCHRECHNUNG 14 Division von Brüchen Merke Durch einen Bruch wird dividiert indem man mit der Kehrzahl multipliziert Die Kehrzahl eines Bruches erhält man indem man den Zähler mit dem Nenner vertauscht. Beispiel Vergleiche $$9/$$ und $$23/50$$ Gehe so vor 1 Den gleichen Nenner suchen Du bringst die Brüche, die du ordnen willst, auf denselben Nenner Suche eine Zahl, die sowohl in der Vielfachreihe von $$$$ als auch in der Vielfachreihe von $$50$$ vorkommt. Wie nimmt man einen Bruch mit einer ganzen Zahl mal?.
Übungsblatt zum Erweitern und Kürzen von Brüchen Alle Aufgaben müssen im Heft gerechnet werden!. Es können Stücke abgeschnitten werden Auswertung Versuche 0 Aufgabe 8 In das Verdunstungsgefäß am Heizkörper gießt Susanne 1 1 2 Liter Wasser Nach einiger Zeit ist 1 6 der Flüssigkeit verdunstet Wie viel Wasser befindet sich noch im Gefäß?. Du kannst Brüche genauso addieren und subtrahieren wie natürliche Zahlen Der einzige Unterschied ist, dass die Nenner dabei stets gleich groß sein müssenWie du ungleichnamige Brüche, sprich Brüche mit verschiedenen Nennern, addierst und subtrahierst, das erfährst du in diesem Lernweg Schaue dir dafür die Videos an und löse die darauf folgenden Übungen.
Im Folgenden wollen wir uns mit dem Vereinfachen von Brüchen beschäftigen Dazu werden wir zu Beginn eine Definition präsentieren und anschließend einige Aufgaben mit Lösungen durchrechnen Ein Ausdruck der Form ist unbestimmt. Über das Rechnen mit Brüchen, Bruchteilen und gemischten Zahlen Addition üben Grundlagen der Bruchrechnung Rechnene mit Bruchzahlen. Es können Stücke abgeschnitten werden Auswertung Versuche 0 Aufgabe 8 In das Verdunstungsgefäß am Heizkörper gießt Susanne 1 1 2 Liter Wasser Nach einiger Zeit ist 1 6 der Flüssigkeit verdunstet Wie viel Wasser befindet sich noch im Gefäß?.
Klasse 6 Hauptschule Übungen kostenlos ausdrucken Thema Brüche Die Themen dieser Übung sind der Bruchzahlbegriff bei Bruchteilen von Größen, das Erweitern und Kürzen von Brüchen sowie der Größenvergleich von Brüchen Klassenarbeit 10 Aufgabe;. Erklärungsfilm zu „Multiplizieren von Brüchen" Informationen zur Young Business School finden Sie unter wwwybsde Informationen zu CASS finden Sie unter. Klasse 6 Hauptschule Übungen kostenlos ausdrucken Thema Brüche Die Themen dieser Übung sind der Bruchzahlbegriff bei Bruchteilen von Größen, das Erweitern und Kürzen von Brüchen sowie der Größenvergleich von Brüchen Klassenarbeit 10 Aufgabe;.
Institut vor Ort zu vereinbaren. Interaktive Übungen helfen dir beim Lernen Videos, Audios und Grafiken erklären dir jedes Thema Mit dem Klassenarbeitstrainer bereitest du dich auf deine MatheKlausur vor Mit dem Lernmanager hast du alle Aufgaben im Blick Die Testlizenz endet nach drei en automatisch Es entstehen keine Kosten. Hier erfährst du, wie du Brüche miteinander vergleichen kannst Vergleich von gleichnamigen Brüchen Vergleich von zählergleichen Brüchen Vergleich von ungleichnamigen Brüchen Vergleich von gemischten Zahlen Vergleich von gleichnamigen Brüchen Am einfachsten lassen sich Brüche vergleichen, wenn sie gleichnamig sind Der größere Zähler gibt dann den größeren Bruch an Vergleiche 2 3.
Übungen mit Lösungen zur Multiplikation von Brüchen mit ganzen Zahlen in Klasse 5 und 6. Arbeitsblatt Erweitern von Brüchen Das Arbeitsblatt „Erweitern von Brüchen“ befasst sich – wie es der Name bereits verrät – mit der Brucherweiterung Dieses ist unter anderem dann wichtig, wenn man mit Brüchen rechnen muss und / oder gleichnamige Brüche sucht. 2 3 von 1 € = 2 3 · 1 € = 2 · 1 3 € = 240 3 € = 80 € „von“ heißt hier.
Teste das Lernportal von kapiertde!. In diesem Video findest Du eine Erklärung und die zwei Übungsaufgaben. In dieser Übung werden Ihnen Beispiele zum Addieren, Subtrahieren, Multiplizieren und Dividieren von zwei gewöhnlichen Brüchen angeboten Übungen Berechnen Sie das Beispiel, schreiben Sie die Antwort und drücken Sie die Taste "Überprüfen".
Bruche Multiplizieren In Der Bruchrechnung Online Erklart Sofatutor
Multiplikation Und Division Von Bruchen Kapiert De
Www Formelsammlung Mathe De Bruchrechnen Brueche Multiplizieren Dividieren Html
Vervielfachen Von Bruchen Ubungen のギャラリー
Krwd Ymchg2mim
4 4 Bruche Dividieren Pdf Kostenfreier Download
Bruchrechnen Lernen Verstehen Uben Fur Schuler
Veranschaulichung Bruche Multiplizieren Geogebra
Arbeitsblatter Zur Bruchen
Mathematik Arbeitsmaterialien Multiplikation Division 4teachers De
Bruchrechnen Ubungen Klasse 6 Bruchrechnung Mit Mathefritz Uben
Bruche Multiplizieren Dividieren Gratis Mathematik Geometrie Arbeitsblatt 8500 Kostenlose Lernhilfen Allgemeinbildung Ch
Multiplikation Von Bruchen Kapiert De
Bruche Mit Ganzen Zahlen Multiplizieren Klasse 5 6 Mathiki De
Www Persen De Media Ntx Persen Sample Musterseite Pdf
Multiplikation Und Division Von Bruchen Kapiert De
Bruche Mit Variablen Unbekannten
Http Didaktik Mathematik Hu Berlin De Files Didalgzt2 Pdf
Bruche Multiplizieren Erklarung Mit Regeln Mathehilfe24
4 4 Bruche Dividieren Pdf Kostenfreier Download
Arbeitsblatter Zur Bruchen
Mathematik Arbeitsmaterialien Multiplikation Division 4teachers De
Bruche Lernwolf De
Bruche Bruchrechnen
Klassenarbeit Bruchrechnung 6 Klasse Bruchrechnen Uben Mathefritz
Erklarung Bruche Dividieren
Bruche Multiplizieren Und Dividieren Unterrichtsmaterial Im Fach Mathematik Bruche Multiplizieren Mathematik Bruchrechnen
Klasse 7 Multiplikation Gemeiner Bruchen
Www Formelsammlung Mathe De Bruchrechnen Brueche Multiplizieren Dividieren Html
Bruchrechnung Multiplikation Von Bruchen Compulearn Mathematik
Bruche Lernwolf De
Bruche Subtrahieren Im Bereich Bruchrechnung
Www Mathematik Uni Dortmund De Prediger Veroeff 06 Pm H11 Prediger Vorstellungen Pdf
Erklarung Bruche Multiplizieren
Www2 Klett De Sixcms Media Php 229 Gesamt Pdf Kv Inklusionsmaterial Pdf
Bruche Lernwolf De
Http Didaktik Mathematik Hu Berlin De Files Didalgzt2 Pdf
Bruche Mit Ganzen Zahlen Multiplizieren Oder Dividieren Gezeigt Und Erklart Youtube
Bruche Multiplizieren Erklarung Mit Regeln Mathehilfe24
Die Multiplikation Und Divison Von Bruchen Mit Ubungen
Interaktive Bruchrechenubungen Landesbildungsserver Baden Wurttemberg
Bruche Multiplizieren Klasse 5 6 Mathiki De Multiplizieren Bruche Multiplizieren Bruchrechnen
Arbeitsblatter Zur Bruchen
Q Tbn And9gcrnhzhl1xijftuu7qizo91h7ikuku5ng09qxzcngz7plte32w3z Usqp Cau
Die Multiplikation Und Divison Von Bruchen Mit Ubungen
Q Tbn And9gctqlzhyxpmdt6sorniuvbrvriftc3fblv99uehaa067dghj5ked Usqp Cau
Arbeitsblatter Zur Bruchen
Bruche Bruchrechnen Theorie Ubungen Meinstein Ch
Klassenarbeiten Zum Thema Bruche Mathematik Kostenlos Zum Ausdrucken Musterlosungen Ebenfalls Erhaltlich
Bruchrechnen In Der Hauptschule
Grips Mathe 6 Bruch Mal Ganze Zahl Grips Mathe Grips Br De
42 Bruchrechnen Ubungen Zur Multiplikation Und Division Von Bruchen Youtube
Arbeitsblatter Zur Bruchen
Www2 Klett De Sixcms Media Php 229 Gesamt Pdf Kv Inklusionsmaterial Pdf
Ubungen Bruche Multiplizieren Und Dividieren
Bruche Dividieren Allgemeine Regel Kehrwert Und Co
Multiplikation Von Bruchen
Bruchrechnen In Der Hauptschule
Anwendungen Zur Multiplikation Und Division Von Bruchen Bettermarks
Bruchrechnung Multiplikation Multiplizieren Malnehmen Bruchrechnen Lernen
Bruchrechnen Einfach Erklart
Mathematik Arbeitsmaterialien Vermischte Aufgaben Zu Den 4 Grundrechenarten 4teachers De
Bruchrechnen Multiplizieren Und Dividieren Youtube
Bruchrechnen Lernen Und Lehren
Bruche Bruchrechnen Theorie Ubungen Meinstein Ch
Multiplikation Von Bruchen
Textaufgaben Multiplikation Domino
Http Didaktik Mathematik Hu Berlin De Files Didalgzt2 Pdf
Bruche Lernwolf De
4 1 Bruche Mit Naturlichen Zahlen Multiplizieren Pdf Kostenfreier Download
Bruche Bruchrechnen Theorie Ubungen Meinstein Ch
Mathematik Arbeitsmaterialien Multiplikation Division 4teachers De
Rechnen Mit Negativen Bruchen Bettermarks
Mathematik Arbeitsmaterialien Multiplikation Division 4teachers De
Haufigste Suchbegriffe
Vervielfachen Von Bruchen Youtube
Bruche Multiplizieren Klasse 5 6 Bruchrechnen Bruche Multiplizieren Multiplizieren
Bruche Erweitern
Atfd Licensed For Non Commercial Use Only Multiplikation Von Bruchen
Bruche Bruchrechnen
Bruchrechnen Ubungen
Vorstellungen Und Aufgaben Zu Bruchen Geogebra
Bruche Bruchrechnen Theorie Ubungen Meinstein Ch
Bruche Vor Dem Multiplizieren Kurzen Youtube
Erklarung Bruche Multiplizieren
Bruchrechnung Multiplikation Multiplizieren Malnehmen Bruchrechnen Lernen
Multiplikation Von Bruchen Kapiert De
Die Multiplikation Und Divison Von Bruchen Mit Ubungen
Bruchrechnen Ubungen
Q Tbn And9gctnp Pj Seu 2pcx Zzzofi6a1qae5pv9uy3uulqd7vjzscmbu Usqp Cau
2 10 Vervielfachen Und Teilen Von Bruchen Ubung Bruche Multiplizieren Youtube
Multiplikation Und Division Von Bruchen Kapiert De
Bruche Lernwolf De
Bruchrechnen Lernen Und Lehren
Arbeitsblatter Zur Bruchen
Bruche Multiplizieren Im Bereich Bruchrechnung
Haufigste Suchbegriffe
Klassenarbeit Bruchrechnung 6 Klasse Bruchrechnen Uben Mathefritz
Multiplikation Und Division Von Bruchen Kapiert De
1
Www2 Klett De Sixcms Media Php 229 Gesamt Pdf Kv Inklusionsmaterial Pdf
Bruchrechnung Textaufgaben Compulearn Mathematik
Rechnen Mit Negativen Bruchen Bettermarks
Bruche Multiplizieren Bruchrechnen Bruche Multiplizieren Mathe Tricks
Assoziativgesetz Addition Multiplikation Und Bruche


